1. Besarnya ggl induksi yang dihasilkan sebuah dinamo dipengaruhi oleh faktor-faktor berikut ini, kecuali ….
b. kuat medan magnet yang digunakan
c. kecepatan putaran kumparan
d. jumlah lilitan kumparan
e. luas penampang kumparan
1. jumlah lilitan kumparan;
2. kuat medan magnet yang digunakan;
3. luas penampang kumparan; dan
4. laju perubahan fluks magnetik yang ditentukan oleh putaran kumparan di dalam medan magnet.
Tegangan listrik maksimum yang boleh digunakan 220 V AC.
Frekuensi arus listrik bolak-balik yang baik untuk televisi adalah 60Hz.
Tegangan listrik rata-rata yang boleh digunakan adalah 220 V AC.
Tegangan listrik efektif yang boleh digunakan adalah 220 V AC.
Pernyataan yang benar adalah ….
b. 1, 2, dan 3
c. 2 dan 4 saja
d. 1, 2, 3, dan 4
e. 1 dan 3 saja
1. Tegangan maksimum yang dihasilkan 100 V.
2. Tegangan efektif yang dihasilkan 70,7 V.
3. Frekuensi tegangan adalah
Hz. 4. Tegangan rata-rata yang dihasilkan V.b. 1, 2, 3, dan 4
c. 1 dan 3 saja
d. 4 saja
e. 1, 2, dan 3
D2 : Vmaks, Vef, f, dan Vr ?
D3 : Vmaks = 100 V
Vef = 0,707 Vmaks = 0,707 x 100 = 70,7 V
A. 0,5 kHz
B. 1,0 kHz
C. 2,0 kHz
D. 2,5 kHz
E. 7,5 kHz
A. 1,5 A
B. 2,0 A
C. 3,5 A
D. 4,0 A
E. 5,0 A
Data dari soal di atas sebagai berikut:
D1 : R = 60 Ω
XL = 120 Ω
XC = 40 Ω
Vm = 200 volt
D2 : Im = ...?
D3 : Langkah pertama temukan dulu impedansi rangkaian (Z)

Kuat arus maksimumnya adalah

A. | |
B. | |
C. | |
D. | |
E. |
Resistif | Induktif | Kapasitif |
XL = XC | XL > XC | XC > XL |
V sefase dengan I | V mendahului I | I mendahului V |
b. 1,1 T
c. 0,3 T
d. 0,5 T
e. 2,2 T
A = 20 cm2 = 2 x 10-3 m2
ω = 30 rpm = 2π rad/s
Pembahasan
Data yang bisa diambil dari gambar:
D1 :R =500 Ω
L = 8 H
C = 5 μF
ω = 100 rad/s
D2 :Z =.....?
Soal No. 1
Diberikan sebuah gambar rangkaian listrik arus bolak-balik yang terdiri sebuah resistor (R), sebuah induktor (L), sebuah kapasitor (C) dan sebuah sumber listrik arus bolak-balik.
Tentukan :
- a) Nilai frekuensi sudut sumber listrik
- b) Nilai frekuensi sumber listrik
- c) Nilai periode sumber listrik
- d) Nilai tegangan maksimum sumber listrik
- e) Nilai tegangan efektif sumber listrik
- f) Nilai tegangan puncak ke puncak sumber listrik
- g) Nilai reaktansi induktif dari induktor
- h) Nilai reaktansi kapasitif dari kapasitor
- i) Nilai impedansi rangkaian
- j) Nilai kuat arus maksimum rangkaian
- k) Nilai kuat arus efektif rangkaian
- l) Nilai tegangan antara titik d dan e
- m) Nilai tegangan antara titik e dan f
- n) Nilai tegangan antara titik f dan g
- o) Nilai tegangan antara titik d dan f
- p) Nilai tegangan antara titik e dan g
- q) Nilai tegangan antara titik d dan g
- r) Nilai faktor daya rangkaian
- s) Nilai sudut fase antara tegangan dan arus listrik
- t) Nilai daya yang diserap rangkaian
- u) Sifat rangkaian ( kapasitif, induktif atau resistif)
- v) Nilai tegangan sesaat sumber listrik saat t = (π/150) sekon
- w) Persamaan kuat arus sumber listrik
- x) Nilai kuat arus sesaat sumber listrik saat t = (0,016 π) sekon
- y) Nilai tegangan rata-rata
- z) Nilai kuat arus rata-rata
- aa) Lukis diagram fasor arus dan tegangan dari rangkaian RLC di atas
- bb) Lukis diagram fasor hambatan, reaktansi dan impedansi dari rangkaian RLC di atas
(Sumber gambar dan angka : Soal UN Fisika SMA Tahun 2008 P 04 dengan perbedaan nilai tegangan sumber)
Pembahasan
a) Pola sinusoidal dari tegangan sumber listrik adalah sebagai berikut:
dimana V adalah nilai tegangan sesaat (saat waktu t), Vmax adalah nilai maksimum tegangan, ω adalah frekuensi sudut sumber listrik. Sehingga nilai frekuensi sudut sumber adalah ω = 125 rad/s
Catatan : Jika beberapa referensi lain atau di sekolah menggunakan lambang-lambang yang berbeda disesuaikan saja.
b) Untuk mencari frekuensi sumber ambil dari frekuensi sudut dimana :
c) Periode merupakan kebalikan frekuensi :
d) Tegangan maksimum sumber lihat pola di atas :
e) Tegangan efektif cari dari hubungannya dengan tegangan maksimum :
f) Tegangan puncak ke puncak (Vpp) adalah dua kali tegangan maksimum :
g) Reaktansi Induktif :
h) Reaktansi Kapasitif :
i) Impedansi rangkaian :
j) Nilai kuat arus maksimum rangkaian :
k) Nilai kuat arus efektif rangkaian :
l) Nilai tegangan antara titik d dan e :
Karena yang ditanyakan tegangan saja, kita asumsikan bahwa yang diminta adalah tegangan efektif (tegangan terukur), sehingga kuat arus yang dipakai adalah Ief
m) Nilai tegangan antara titik e dan f :
n) Nilai tegangan antara titik f dan g :
o) Nilai tegangan antara titik d dan f :
Secara umum untuk mencari tegangan antara dua titik katakanlah A dan B yang mengandung komponen R, L dan C dengan tegangan masing-masing yang sudah diketahui gunakan persamaan :
dimana VR , VL dan VC berturut- turut adalah tegangan pada masing-masing komponen R, L dan C .
Titik d dan f mengandung 2 komponen yaitu R dan L . Berarti C nya tidak ada? Masukkan saja angka nol pada VC nya sehingga:
p) Nilai tegangan antara titik e dan g :
Titik e dan g mengandung L dan C sehingga sekarang R nya yang tidak ada, sehingga
q) Nilai tegangan antara titik d dan g
Titik d dan g mengandung R, L dan C sekaligus sehingga :
Lha,..kok hasilnya bukan 120 volt kan sama saja dengan mencari tegangan sumber ?! 120 volt adalah tegangan maksimum, sementara yang kita hitung tegangan efektif, jadi jawabannya harus sama dengan jawaban pertanyaan e.
r) Nilai faktor daya rangkaian :
Faktor daya rangkaian (power factor = pf , in english) tidak lain adalah nilai cosinus dari sudut fase dimana
Hasil keduanya haruslah sama,
s) Nilai sudut fase antara arus dan tegangan :
Sudut yang nilai cosinusnya 0,8 !?! Tentunya 37o . Jika mencarinya pakai kalkulator akan dapat hasil yang sedikit berbeda, kita bulatin aja. Tetapi bukannya cos (−37o) juga 0,8 !?? Kita coba cari sudutnya dari nilai tan nya :
( Kalau pakai bahasa kalkulator tekan Shift --> tan −1--> − 0,75 --> = akan ketemu angka − 36,8698xxxx )
t) Nilai daya yang diserap rangkaian :
u) Sifat rangkaian ( kapasitif, induktif atau resistif)
Untuk sifat rangkaian gunakan ketentuan berikut :
Jika XL > XC → rangkaian bersifat induktif
Jika XC > XL → rangkaian bersifat kapasitif
Jika XL = XC → rangkaian bersifat resistif (resonansi seri)
Sehingga rangkaian di atas bersifat kapasitif ( arus mendahului tegangan)
v) Nilai tegangan sesaat sumber listrik saat t = ( π/150) sekon :
w) Persamaan kuat arus sumber :
Untuk mencari persamaan arus perhatikan ketentuan berikut :
Jika persamaan tegangan dinyatakan dalam V = Vmax sin ω t
maka persamaan kuat arusnya adalah:
Karena rangkaian kita bersifat kapasitif maka persamaan kuat arus adalah:
Lha,..kok jadi + 37o bukannya diatas tadi sudut fasenya −37o ?!! Sudut fase −37o di atas mengandung arti sudut fase tegangan terhadap arus adalah −37o. Jika dibalik sudut fase arus terhadap tegangan adalah +37o.
x) Nilai kuat arus sumber listrik saat t = (0,016 π) sekon :
y) Tegangan rata-rata :
z) Kuat arus rata-rata :
aa) Diagram fasor arus dan tegangan dari rangkaian RLC di atas
bb) Diagram fasor hambatan, reaktansi dan impedansi dari rangkaian RLC di atas
Soal No. 2
Suatu rangkaian seri R, L, dan C dihubungkan dengan tegangan bolak-balik. Apabila induktansi 1/25π2 H dan kapasitas kapasitor 25 μF, maka resonansi rangkaian terjadi pada frekuensi .....
A. 0,5 kHz
B. 1,0 kHz
C. 2,0 kHz
D. 2,5 kHz
E. 7,5 kHz
(Sumber : Soal Ujian Nasional Fisika SMA Tahun 2009/2010)
Pembahasan
Frekuensi resonansi untuk rangkaian RLC terjadi saat reaktansi induktif sama besar dengan reaktansi kapasitif, dengan nilai frekuensi :
Soal No. 3
Perhatikan gambar rangkaian listrik berikut
Jika tegangan maksimum sumber arus bolak-balik = 200 V, maka besar kuat arus maksimum yang mengalir pada rangkaian adalah....
A. 1,5 A
B. 2,0 A
C. 3,5 A
D. 4,0 A
E. 5,0 A
(UN 2011)
Pembahasan
Data dari soal di atas sebagai berikut:
R = 60 Ω
XL = 120 Ω
XC = 40 Ω
Vm = 200 volt
Im = .................
Langkah pertama temukan dulu impedansi rangkaian (Z)
Kuat arus maksimumnya adalah
Soal No. 4
Rangkaian R – L – C disusun seperti gambar di samping.
Grafik gelombang sinus yang dihasilkan jika XL > XC adalah….
| A. | |
| B. | |
| C. | |
| D. | |
| E. |
(UN 2012)
Pembahasan
| Resistif | Induktif | Kapasitif |
| XL = XC | XL > XC | XC > XL |
| V sefase dengan I | V mendahului I | I mendahului V |
-Jawaban A dan E bisa dibuang dulu, karena menggambarkan I sebagai garis lurus.
-Jawaban B bisa dibuang kemudian, karena menunjukkan V sefase dengan I, kelihatan saat 0°, 180° dan 360°, V dan I berada pada satu titik, jadi sefase. Jangan terkecoh dengan garis merahnya V yang terlihat lebih tinggi dari garis birunya I.
-Tinggal C dan D. Mana yang V mendahului I? yang C, terlihat saat I nya masih nol, V nya sudah punya nilai sudut tertentu yang lebih besar dari nol, jadi seperti grafik option B, tapi merahnya digeser sedikit ke sebelah kiri.
Soal No. 5
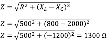
Perhatikan gambar rangkaian RLC berikut.
Besar impedansi pada rangkaian tersebut adalah....
A. 1600 Ω
B. 1500 Ω
C. 1300 Ω
D. 800 Ω
E. 600 Ω
(UN 2010)
Pembahasan
Data yang bisa diambil dari gambar:
R =500 Ω
L = 8 H
C = 5 μF
ω = 100 rad/s
Z =..............
Tentukan dulu reaktansi induktif (XL ) dan reaktansi kapasitifnya (XC):
Impedansi rangkaian:




















Tidak ada komentar:
Posting Komentar